产品搜索:

Mach-Zehnder 调制器偏压控制介绍

2017-05-13 12:10:35 EMC易倍公司 11645

 

Mach-Zehnder 调制器偏压控制介绍

    此应用指南是为使用强度调制器的用户,介绍如何对于他们的调制器选择合适的RF和偏置电压。

 

简介 :

 

    基于铌酸锂(LiNbO3 ) Mach-Zehnder波导的光学调制器提供多种特性 :

 

l  高调制速度(几十个GHz)

l  紧凑型

l  长时间稳定性

l  苛刻的使用环境

 

    20年来铌酸锂调制器被广泛的使用在通讯行业(几十万铌酸锂强度调制器已经被安装到全世界的光通讯网络中)。他们也常被使用在其他光子学应用中,例如:

 

l  光纤传感

l  光纤激光器

l  测量系统

l  RoF….

 

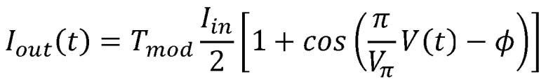
原理传输函数 :

 

    铌酸锂强度调制器是基于Mach-Zehnder干涉仪,输入光被分成两路,然后重新汇合到输出端。由于两个光路经过的光程不同,产生相位差,从而导致输出端的光强变化。

    北京EMC易倍科技有限公司

 

LiNb03 铌酸锂强度调制器芯片

 

 

 

    铌酸锂的晶体光学折射率被外部电场调制,外部电场通过电压施加在晶体的电极上,他们通常有两个电极,调制电极(也称RF电极)和DC直流电极(也称偏压电极)。

 

    强度调制器的传输函数随施加的电压变化如下:

                             北京EMC易倍科技有限公司

注:

l  Iout : 输出强度

l  Iin: 输入强度

l  Tmod : 器件的光学透过率

l  Vπ: 调制器的半波电压

l  Φ: 相位

 

北京EMC易倍科技有限公司 

铌酸锂强度调制器的传输函数

 

理论和实际:

 

    当我们设计强度调制器的时候,尽量需要两条相等的光路,这样他们的相位差近乎零。然而,由于材料的均匀性,制造工艺等原因,两条光路总会略有不同,所以相位用来标注这个不同。

 

    为了使调制器正常工作并得到想要的光调制信号,我们必须在调制器上施加正确的电压:一个调制电压(也称为RF射频电压),一个直流DC电压(也称为偏置电压)。

 

 

 

工作点:

 

    调制器的工作点是指应该在传输曲线上哪个位置施加调制信号,它要根据应用来选择,请参考如下:

 

    北京EMC易倍科技有限公司       北京EMC易倍科技有限公司

    数字通讯, NRZ 调制模式QUAD                             数字通讯, DPSK 调制模式t MIN

 

   北京EMC易倍科技有限公司       北京EMC易倍科技有限公司

  模拟调制 QUAD                                                                     脉冲产生 MIN                     

为什么需要偏置电压?

 

    如上所述,Mach-Zehder干涉仪的两条光路不是完全的一样。另外,它的漂移还被温度和热量的变化,使用时间,光强效果,静电等影响,这将导致传输曲线在水平方向移动。当电调制信号施加在移动的工作点上,输出的光调制信号将完全被改变。

 

    偏置电压施加在DC直流电极上是为了:

 

l  选择想要的工作点

l  补偿可能的调制器漂移并锁定工作点以得到稳定的输出光信号

 

    偏置电压能够手动调节到希望的工作点上,当调制器由于其他原因而发生漂移时,偏置电压将必须再次被调节到新的工作点,所以手动调节也许可以在实验室这种稳定的环境条件下工作。

 

    然而对于长时间的工作要求,特别是系统温度会发生变化时,自动偏置电压控制就变得特别重要,以保证施加正确的直流电压,锁定工作点使系统长时间的稳定工作。

 

 

北京EMC易倍科技有限公司 

 

    调制器传输曲线的漂移以致工作点发生变化,如果偏置电压不被重新调节,输出光调制函数发生剧烈变化,不仅仅是振幅,频率也发生变化。

 

    iXBlue 提供调制器偏置电压控制MBC 解决方案(Modulator Bias controller) : 台式机和工业用电路板,他们能锁定工作点及时内在和外在条件发生变化。

   北京EMC易倍科技有限公司北京EMC易倍科技有限公司

 

Left : MBC-DG-BT bench top bias controller

  Right : MBC-DG-board OEM bias control board

调制信号:

   

    一旦工作点选择后,并且施加合适的偏置电压,我们就能够施加调制RF信号到调制器的电极上。

 

    这里再一次,调制信号的峰间振幅必须根据应用而选择。例如:

 

数字通讯, NRZ 调制模式

Vπ

数字通讯, DPSK 调制模式

2 x Vπ

模拟调制

< Vπ

脉冲产生

Vπ

 

 

 

 

    通常对于强度调制器Vπ5V,他通常高于商用RF信号发生器的峰间电压。所以输入RF信号通常需要放大已达到应用所需要的驱动电压,这样的设备我们称之为调制器驱动去或放大器。

 

        iXBlue 提供大量的调制器驱动器的选择,覆盖常见的应用:模拟,数字,脉冲,单倍或双倍Vπ调制, 10GHz/10Gb/s40 GHz/40Gb/s

 

       北京EMC易倍科技有限公司

 

常见数字 NRZ 调制系统

北京EMC易倍科技有限公司

常见脉冲调制系统

 

网站地图